Quantitive Investment & Financial Optimization
It's my notes for the course Topics on Quantitive Investment and Financial Optimization. Copyright of the screenshots of slides belongs to the teacher.
1. Log Optimal Strategy


1.1 Log Utility Form
From the mathematics above, we have

1.2 Volatility Pumping
2 financial assets. Each of them has different profits and risks. We need to find a proportion to invest on them, to achieve the best return.
1.2.1 Stock & Cash
Stock: doubles of halves with 50% of chance
Cash: just remains the value
Stock does not grow over time (using the log utility form above), and neither does cash.
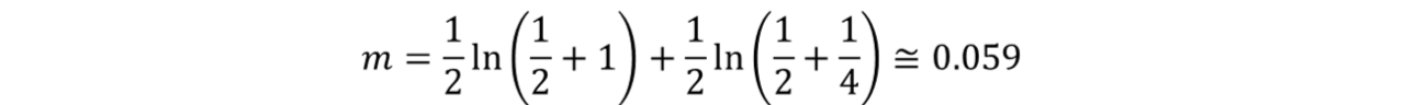
However, if we combine them together by 0.5 and 0.5, the assets will grow!!!

(~ 6% per period)
So, what is important is how the inclusion of an asset into a portfolio will affect the overall return, but not its individual return.
Assets are valuable as members of portfolios.
1.3 Dominance of Log Optimal Strategy
The log optimal strategy is the best, from mathematical expectation.
However, it has some defects.

2. The Markowitz model
Choosing a portfolio of risky assets
2.1 Efficient Frontier

2.2 The Model

2.3 Linear Property
Any linear combinations of any two points on the efficient frontier belong to the efficient frontier!
By having two portfolios, one can generate any portfolios on the efficient frontier.
2.4 Including a Risk-Free Asset
Ref: Risk-free asset and the capital allocation line


When a risk-free asset is introduced, the half-line shown in the figure is the new efficient frontier.
Its vertical intercept represents a portfolio with 100% of holdings in the risk-free asset;
the tangency with the parabola represents a portfolio with no risk-free holdings and 100% of assets held in the portfolio occurring at the tangency point;
points between those points are portfolios containing positive amounts of both the risky tangency portfolio and the risk-free asset;
and points on the half-line beyond the tangency point are leveraged portfolios involving negative (\(\alpha < 0\)) holdings of the risk-free asset (the latter has been sold short—in other words, the investor has borrowed at the risk-free rate) and an amount invested in the tangency portfolio equal to more than 100% of the investor's initial capital.
By the diagram, the introduction of the risk-free asset as a possible component of the portfolio has improved the range of risk-expected return combinations available, because everywhere except at the tangency portfolio the half-line gives a higher expected return than the hyperbola does at every possible risk level.